摘 要:在文化遗产数字化浪潮兴起、推动档案管理从传统实体模式向数字资源范式全面转型的背景下,文章分析了文化遗产数字化对档案管理体系带来的多维度的深远影响以及机遇与挑战并存的特征,剖析当前存在的档案资源数字化转换碎片化、档案管理流程与数字化需求相对错位、档案信息共享机制存在障碍及档案管理人员数字化能力短板等问题,并有针对性地提出创新优化策略。研究旨在为文化遗产行业突破当前管理困境,实现文化遗产保护的
摘 要:现阶段档案管理已进入信息化管理阶段,在开展水资源档案管理工作时,可凭借信息自动化方法,提升档案管理质量。基于此,文章围绕水资源档案管理中信息自动化的应用展开分析,总结信息自动化在水资源档案管理中的适用性,分析水资源档案信息自动化管理系统的结构与功能,进一步提出信息自动化在水资源档案管理中的应用要点,包括档案信息数字化采集处理、多格式信息资源整合归档、档案内容智能标引检索、档案信息安全存储保
摘 要:随着信息技术的高度发展,电子文件、电子档案正日益成为信息记录、传输、交换、利用以及共享的重要载体。特别是近几年来,随着人工智能、区块链及大数据技术的发展,各行各业形成了海量的电子档案,传统双套管理模式已经无法适应工作需要。实行单套管理,有助于进一步强化档案的源头管理、提高档案管理效能、丰富档案应用场景以及降低成本费用。因而推行电子档案单套管理的呼声也越来越高。基于此,文章从制度规范角度出发
摘 要:文章旨在探讨大数据时代,档案管理信息化建设的创新思路,提出适应新时代要求的解决策略。通过文献分析与理论分析相结合的方式,探讨了大数据、云计算等技术在档案管理中的应用,并分析了相应的策略与保障措施。研究表明技术创新、信息化规划的制定、人才培养及政策法规的完善是档案管理信息化建设成功的关键因素。大数据时代推动了档案管理模式的变革,档案管理信息化建设应在技术、制度及人才等方面协调推进,才能更好地
摘 要:“互联网+”时代,机关事业单位档案工作正经历前所未有的变革。《“十四五”全国档案事业发展规划》等政策的出台,叠加信息技术的迅猛发展,让传统档案管理方式愈发难以满足现代机关事业单位对档案信息高效利用、快速检索的迫切需求。推动档案管理向数字化、智能化转型,成为机关事业单位提高工作效率和服务质量的必然选择。文章阐述了“互联网+”背景下机关事业单位档案管理转型的必然性,剖析其转型面临的深层瓶颈,包
摘 要:本文聚焦智慧医疗体系下医院档案数智化建设,首先剖析其价值逻辑,能显著提升医疗服务效率,依托数字化系统实现档案快速调阅,为急诊等场景争取时间;为医疗决策科学化提供支撑,借大数据挖掘疾病规律、助力科研创新;强化医疗质量管理,通过系统监测指标、保障患者安全;推动医疗资源共享协同,打破机构壁垒、提升整体医疗水平。接着指出建设面临的人员素养不足、系统互通性差、安全风险高以及成本高昂等挑战。最后从技术
摘 要:科学选择存储格式、构建优化策略,是保障高校声像档案数字化质量、实现长期安全保存与高效利用的核心。高校声像档案类型繁杂,含教学录像、科研影像和校史资料,应用场景多样,长期存储需兼顾安全性与可访问性,需综合考量多方面因素:在档案载体特性方面,传统载体转化档案优先保存原始信息;在保真度要求上,科研影像需无压缩格式,教学档案可适当压缩;还需兼顾多系统兼容性与存储成本平衡。优先选用符合ISO标准、扩
摘 要:伴随城市规模扩张与功能升级,城建档案作为记录建设全过程的核心信息资源,对其开展的管理工作水平直接影响城市发展的质量与可持续性。当前多数城建档案馆依旧沿用传统纸质存储为主的管理模式,经常出现系统兼容性差、数据标准不统一以及深度开发不足等问题,难以适应信息化时代的需求。为明确新时代背景下城建档案数字化管理现状,探讨针对性优化策略,文章阐述了城建档案管理的职能,明确其作用,分析当前管理中存在的问
摘 要:在教育信息化和数字化转型深入推进的今天,教师人事档案管理正经历着由传统纸质模式向数字化、智能化模式的深刻变革。文章基于当前技术发展的背景,系统性地梳理数字化技术对档案管理所带来的变革性意义,深入剖析其在教师人事档案管理应用中所面临的现实挑战,并构建一套体系化的应用策略,旨在推动教师人事档案管理工作迈向全新的发展阶段。 关键词:教师人事档案;数字化技术;档案管理 中图分类号:G648
摘 要:文章聚焦于大数据技术在档案利用服务中的应用,剖析其如何重塑档案检索模式,借助智能算法实现精准且高效的信息定位,大幅提升检索效能。探讨其对档案信息的深度挖掘能力,通过关联、聚类等分析手段,解锁隐藏于档案数据中的内在关联与潜在规律,为用户呈现更为全面且有深度的信息图景。阐述其依据用户行为与需求定制个性化服务的机制,从而显著增强用户体验与满意度。同时,关注其打破档案资源局限、促进共享利用的积极作
摘 要:文章以廊坊检验科研机构为例,探讨新质生产力视角下档案数字化转型升级的路径。管理模式从人工监控迈向智能预警,为设备设施校准、档案管理等提供预警。转型路径包括:技术适配,开发专用系统并分阶段推进技术落地;管理优化,全流程数字化再造,建设数据治理机制,开展跨机构协同管理;人才培育,分层分类培训、人才引进与合作以及构建激励机制;保障支撑,从政策制度、资金和安全技术多方面保障。廊坊市药品检验所的实践
摘 要:档案馆是党和国家的科学文化机构,是永久保管档案的基地。根据我国现行档案相关法律法规条款,档案馆可以通过接受捐献、购买以及代存等方式征集档案,进一步促进档案资源体系建设。文章主要探讨分析以购买形式征集档案的现状、优势与存在的问题,为推进以购买形式征集档案提出针对性策略与建议,包括拓宽资金渠道来源、建立健全档案购买机制、加强档案征集专业队伍建设以及加强档案法治宣传教育,以期为做好档案征集工作提
摘 要:本研究的核心观点在于将知识管理理论应用于构建职业院校科研档案资源开发模式。在深入梳理职业院校科研档案资源管理现状的基础上,剖析其中的关键性问题。目前,职业院校科研档案资源的开发正面临诸多挑战,存在亟须改进的问题。基于知识管理理论,本研究构建了职业院校科研档案资源开发模式,为职业院校科研档案的有效利用提供创新性的理论框架和实践指导。 关键词:知识管理;职业院校;科研档案;资源开发 中图分
摘 要:文章从财务档案规范化管理的现实意义出发,通过对财务档案规范化管理的相关理论和实践经验的深入研究,探讨财务档案规范化管理的有效路径,为事业单位提供切实可行的参考,推动事业单位财务档案管理工作的转型升级。 关键词:财务档案;规范化管理;现实意义 中图分类号:G27 文献标识码:A 一、新时期财务档案规范化管理的现实意义 1.有利于提高财务管理水平 规范化的财务档案管理有助于提高单
摘 要:作为教学活动全过程的真实记录,教学档案是评估高校教学管理水平和教育质量的关键依据。在“互联网+”时代,高等教育规模持续扩大,教学档案管理面临信息量大、更新频繁及管理复杂等诸多难题,数字化转型势在必行。文章立足高校二级学院教学档案管理的现实困境,深入探讨其数字化转型的安全路径与实施方案,以推动教学档案管理体系的数字化建设。 关键词:高校二级学院;档案管理;实践路径 中图分类号:G271
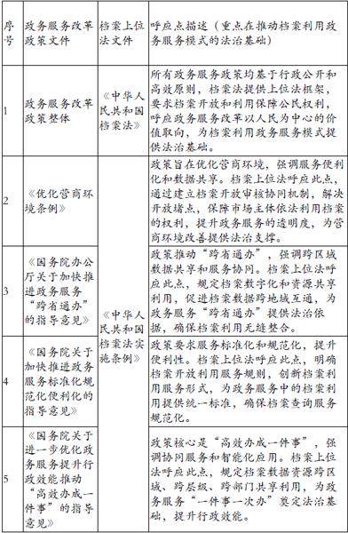
摘 要:城建档案公共服务的社会属性主要体现在档案利用方面。随着经济社会发展和城市更新步伐的加快,社会公众对于城建档案利用的需求日益增加,城建档案利用模式也从传统逐步向现代化转型,并更加深入地服务于城市治理的需要,嵌入政务服务环节,与城市发展和管理创新同频共振。在政务服务改革力度不断加大的背景下,城建档案利用的法治基础也持续完善,全国部分城市已初步形成“政务改革—法规协同—档案赋能”的公共服务形态。
摘 要:在高等教育国际化战略深入实施的背景下,我国高校留学生规模持续扩容,2024年,全国来华留学生总数已突破50万人次。留学生档案作为记录其学习经历、资质背景与跨文化交流轨迹的核心载体,其管理质量直接关系教育服务效能与国际化办学水平。文章基于治理理论和数字治理理论,结合国内外高校实践案例,系统剖析留学生档案在学业发展、职业规划及文化适应等维度的个性化需求特征,揭示当前管理中存在的制度适配不足、技
摘 要:手术分级管理作为医疗质量安全核心制度之一,在提升手术质量、确保患者安全方面具有重要意义。面对手术分级管理中存在的手术名词术语使用不规范、医院手术目录范围不确定、手术分级目录分类不明确以及手术授权未借助质量管理工具与信息化手段等问题,肩负管理和疾病与手术分类“双重职责”的医疗档案管理工作,在开展病历书写培训与质控、规范和指导医疗档案首页填报、构建手术目录以及参与手术医师技术档案与患者医疗档案
摘 要:档案数据标准化处理方法优化是提高档案管理现代化水平的关键环节。当前档案数据处理存在异构性处理困难、质量控制机制不完善以及处理效率有待提升等问题,制约了档案资源的有效利用。系统分析方法优化的必要性,深入识别关键技术挑战,构建针对性的优化策略体系,并提出基于语义映射的异构数据统一处理方法,构建多维质量检测的智能化质量控制体系,开发深度学习驱动的处理效率优化算法。研究成果形成了系统性的档案数据标
摘 要:文章聚焦档案行政执法领域,深入挖掘当前存在的难点问题,并努力探寻有效的解决方法。梳理档案行政执法的现状后发现,存在执法主体界定不清晰、执法人员专业素养不够、执法程序缺乏规范以及执法监督体系不完善等情况。结合实际案例与相关数据展开分析,得出这些难点的形成原因较为复杂,涉及法律规定模糊、人员培训不足以及监督机制存在漏洞等因素。针对这些问题,文章提出明确执法主体的权责、加强执法人员培训、规范执法
摘 要:整合高校档案资源,实行大档案管理,是顺应信息化与现代化发展的必然要求。尤其是通过整合各类档案资源,不仅能够更好地服务高校教学、科研及管理工作,推动高校事业持续发展,还能提高档案管理的现代化水平,更好地满足师生多样化的信息需求,促进学生全面发展。基于此,为实现大档案管理,需要统筹规划、高位推动,更新观念,形成“大档案、大服务”的理念,并加快培养专业人才队伍,有效提升档案资源整合与利用的整体效
摘 要:当前高校图书馆存在纸本资源利用率下降、图书的零借阅率逐年递增等问题。为此,高校图书馆必须以用户需求为导向来优化资源建设与管理。通过明确资源建设定位、合理配置纸本与电子资源、建立反馈机制和优化采购策略等措施,提高图书馆服务质量和资源利用效率。开通手机图书馆和实施反馈调查能够提升服务的便捷性和用户的满意度。基于用户需求的资源建设策略,有助于更好地支持高校的教学和科研,推动教育事业的发展。 关
摘 要:视障人士作为公共文化服务体系中需重点关注的特殊群体,因其生理机能限制与社会支持不足,在获取公共图书馆服务时面临“物理无障碍”与“心理无障碍”的双重壁垒。当前公共图书馆视障服务多聚焦硬件设施完善与基础资源供给,存在忽视视障人士情感需求、陷入“问题归因”误区以及专业服务关系缺失等局限,难以激发其内在潜能与社会融入动力。文章以社会工作领域的优势视角理论为核心框架,系统梳理我国公共图书馆视障服务的
摘 要:人工智能技术的迅猛发展不仅重塑了高校图书馆的业务布局,还对图书馆馆员的角色定位和职业能力提出了新挑战。在高校实行“大思政”“大学工”“大教务”协同育人的背景下,高校图书馆也在打破传统的部门壁垒,试行“图书馆+N”的机构改革模式。新的变革推动着图书馆馆员向多面手转型,成为行业发展的必然趋势。文章研究了AI环境下图书馆馆员职业竞争力的提升路径。研究表明,图书馆馆员面临着“去职业化”和“去岗位化
摘 要:随着信息技术迅猛发展,AI技术在教育领域应用日益广泛。文章旨在探讨如何利用AI技术辅助中学图书馆嵌入学科服务,以提高教育质量和效率。阐述了AI技术辅助中学图书馆学科服务在服务效能重构、教育公平促进、学科能力培养以及发展动能等方面的核心价值与战略意义,明确了AI赋能中学图书馆学科服务的理论基础和服务框架,在此基础上深入探究包括资源整合、教学支持、空间与服务创新以及技术保障与风险控制等方面的应
摘 要:新媒体的发展为公共图书馆阅读推广带来新契机。运用网络调查法,对某红书平台上的公共图书馆账号展开数据统计分析,探讨图书馆某红书账号在开展阅读推广工作中的问题。研究发现,公共图书馆可以从以下几个方面优化其策略:构建差异化传播矩阵,实现渠道多元化布局;强化专业人才培养机制,优化管理规范体系;注重内容品质创新,提高传播效果;强化粉丝互动,提升用户黏性。 关键词:公共图书馆;阅读推广;某红书;新媒
摘 要:随着“互联网+”技术与社会各领域的深度融合,公共图书馆作为文化服务的核心载体,其阅读推广服务面临转型机遇与挑战。文章以公共图书馆阅读推广服务为研究对象,剖析“互联网+”背景下的服务现状,梳理资源共享、用户互动及群体覆盖层面的现存问题,从资源联盟构建、互动场景打造以及特殊群体服务完善三个方面提出可落地的优化策略,并配套技术、人才及资金保障机制。研究表明,公共图书馆需依托“互联网+”打破传统服
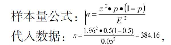
摘 要:文章基于388名慢性病老年人健康信息素养及其影响因素,根据155名相关领域资深从业者对患慢性病的老年人健康信息素养指标及其与阅读推广适配性的评估,采用SPSS分析信效度,Amos(SEM)构建模型验证两者路径关系,构建了融合阅读推广的慢性病老年人健康信息素养干预路径模型。模型包含7个维度健康信息素养、4类影响因素、与阅读推广适配的8个维度健康信息素养和36个指标以及4类组织和阅读推广。纳入
摘 要:干部人事档案服务干部选拔任用面临档案内容一致性和完整性欠佳、跨部门协作存在衔接问题以及技术赋能与安全防护协同不足等诸多问题。为了优化服务路径,需全流程规范操作,提高信息精准度与完整性;打通信息壁垒,提高衔接效率;深化数字化应用,平衡效率与安全。通过前期筹备、过程管控及人员培训等举措,构建统一平台、优化流转流程以及强化数字化应用,为干部选拔任用提供有力支撑。 关键词:干部人事档案;服务;干
摘 要:文章聚焦地质调查档案在国家生态文明建设中的文化价值挖掘问题,立足“档案—生态—文化”协同视角,系统阐释地质调查档案的核心内涵与多元形态,界定其文化价值的核心要义。通过剖析认知启蒙、精神传承、实践赋能及传播教化四大价值维度,揭示其在生态文化体系构建中的支撑作用。结合当前价值认知局限、开发利用不足以及保障体系缺失等现实困境,从理念革新、资源活化、传播升级和保障强化四个层面提出系统性实现路径,为